Tải ứng dụng:
BÁO ĐIỆN TỬ CHÍNH PHỦ
Theo phản ánh của ông Nguyễn Hoàng Anh Vũ, tại khoản 2 Điều 32 Nghị định số 100/2024/NĐ-CP ngày 26/7/2024 của Chính phủ quy định chi tiết một số điều về phát triển và quản lý nhà ở xã hội xác định giá bán nhà ở xã hội như sau: Gib = (Tđ+L)/Sb*Ki*(1+GTGT).
Tuy nhiên, cũng theo Nghị định này thì Tđ (đồng): là tổng chi phí đầu tư xây dựng (đã bao gồm thuế giá trị gia tăng) phần diện tích nhà ở xã hội theo quy định tại khoản 2 Điều 22 của Nghị định này.
Như vậy nếu trong công thức Tđ đã bao gồm thuế giá trị gia tăng thì khi tính giá Gib đã bao gồm giá trị gia tăng rồi, nhưng sau đó lại tiếp tục nhân với (1+GTGT) thì giá bán của nhà ở xã hội bị tính 2 lần thuế giá trị gia tăng (giá trị gia tăng đầu vào đã tính trong Tđ và giá trị gia tăng đầu ra nằm ở biểu thức (1+GTGT)).
Ông Vũ hỏi, vậy cũng theo Nghị định này thì có phải khi mua phải đóng thêm thuế giá trị gia tăng đầu vào còn khi thuê thì không cần?
Bộ Xây dựng trả lời vấn đề này như sau:
Tại Điều 2 Nghị định số 10/2021/NĐ-CP ngày 9/2/2021 của Chính phủ về quản lý chi phí đầu tư xây dựng) quy định:
"Điều 2. Đối tượng áp dụng
1. Nghị định này áp dụng đối với cơ quan, tổ chức, cá nhân có liên quan đến quản lý chi phí đầu tư xây dựng các dự án sử dụng vốn đầu tư công, vốn nhà nước ngoài đầu tư công, dự án PPP.
2. Các tổ chức, cá nhân tham khảo các quy định tại Nghị định này để quản lý chi phí đầu tư xây dựng đối với các dự án ngoài quy định tại khoản 1 Điều này".
Theo Nghị định số 10/2021/NĐ-CP (khoản 2 Điều 5, khoản 2 Điều 12, khoản 2 Điều 25, khoản 2 Điều 31), đối với các dự án sử dụng vốn đầu tư công, vốn nhà nước ngoài đầu tư công, dự án đầu tư theo phương thức đối tác công tư (PPP) thì tổng mức đầu tư xây dựng (Tđ) gồm cả thuế giá trị gia tăng theo từng khoản mục chi phí.
Do vậy, việc quy định tổng chi phí đầu tư xây dựng đã bao gồm thuế giá trị gia tăng trong công thức xác định giá bán nhà ở xã hội là bảo đảm phù hợp với quy định về quản lý chi phí đầu tư xây dựng.
Theo quy định tại Điều 7 Luật Thuế giá trị gia tăng, giá tính thuế đối với hàng hóa, dịch vụ do cơ sở kinh doanh bán ra là giá bán chưa có thuế giá trị gia tăng. Hiện tại, không có quy định về việc giá bán chưa có thuế giá trị gia tăng xác định trên cơ sở các chi phí không bao gồm thuế giá trị gia tăng.
Luật Nhà ở năm 2023 quy định xác định giá thuê, giá thuê mua nhà ở xã hội được đầu tư xây dựng bằng vốn đầu tư công, nguồn tài chính công đoàn (tại Điều 86); xác định giá bán, giá thuê mua, giá thuê nhà ở xã hội được đầu tư xây dựng không bằng vốn đầu tư công, nguồn tài chính công đoàn (tại Điều 87).
Trong đó:
Tại khoản 1 Điều 86 quy định: Trường hợp cho thuê nhà ở xã hội thì giá thuê được tính đủ kinh phí bảo trì nhà ở; chi phí thu hồi vốn đầu tư xây dựng nhà ở trong thời hạn tối thiểu là 20 năm, kể từ ngày ký hợp đồng thuê.
Tại khoản 1 Điều 87 quy định:
"1. Giá bán nhà ở xã hội được xác định như sau:
a) Tính đủ các chi phí để thu hồi vốn đầu tư xây dựng nhà ở, bao gồm: chi phí đầu tư xây dựng công trình nhà ở xã hội, chi phí bồi thường, hỗ trợ, tái định cư, chi phí đầu tư xây dựng hệ thống hạ tầng kỹ thuật, hạ tầng xã hội do chủ đầu tư dự án đầu tư xây dựng nhà ở xã hội thực hiện (nếu có) trong phạm vi dự án, trừ trường hợp thuộc diện đầu tư xây dựng để kinh doanh hoặc phải bàn giao cho Nhà nước quản lý theo nội dung dự án đã được phê duyệt; lãi vay (nếu có); các chi phí hợp lý, hợp lệ của doanh nghiệp, bao gồm chi phí tổ chức bán hàng, chi phí quản lý doanh nghiệp, các khoản chi có đủ hóa đơn, chứng từ liên quan trực tiếp đến dự án đầu tư xây dựng theo quy định của pháp luật; lợi nhuận định mức quy định tại điểm c khoản 2 Điều 85 của Luật này;
b) Không được tính các khoản ưu đãi quy định tại các điểm a, b, đ, g và h khoản 2 Điều 85 của Luật này và kinh phí bảo trì do người mua phải nộp theo quy định tại Điều 152 của Luật này.
2. Giá thuê mua nhà ở xã hội được xác định theo quy định tại khoản 1 Điều này.
3. Giá thuê nhà ở xã hội, bao gồm cả kinh phí bảo trì nhà ở, do chủ đầu tư dự án đầu tư xây dựng nhà ở xã hội thỏa thuận với bên thuê theo khung giá do Ủy ban nhân dân cấp tỉnh quy định".
Nghị định số 100/2024/NĐ-CP ngày 26/7/2024 của Chính phủ quy định chi tiết một số điều của Luật Nhà ở về phát triển và quản lý nhà ở xã hội quy định về xác định giá thuê, giá thuê mua nhà ở xã hội do Nhà nước đầu tư xây dựng bằng vốn đầu tư công, nguồn tài chính công đoàn (Điều 31); xác định giá bán, giá thuê mua, giá thuê nhà ở xã hội được đầu tư xây dựng không bằng vốn đầu tư công, nguồn tài chính công đoàn (Điều 32, Điều 33 và Điều 34) và cơ cấu tổng chi phí đầu tư xây dựng phần diện tích nhà ở xã hội (khoản 2 Điều 22). Trong đó:
Tại khoản 2 Điều 32 và khoản 2 Điều 33 quy định: "Tđ (đồng) là tổng chi phí đầu tư xây dựng (đã bao gồm thuế giá trị gia tăng) phần diện tích nhà ở xã hội theo quy định tại khoản 2 Điều 22 Nghị định này, được xác định căn cứ theo giá trị quyết toán vốn đầu tư được cơ quan nhà nước có thẩm quyền phê duyệt; trường hợp chưa phê duyệt quyết toán thì xác định căn cứ theo chi phí đầu tư xây dựng công trình được cơ quan nhà nước có thẩm quyền phê duyệt hoặc chi phí đầu tư xây dựng theo kết quả đấu thầu thực tế (nếu có)".
Tại khoản 1 Điều 34 quy định: "Phương pháp xác định giá thuê nhà ở xã hội được đầu tư xây dựng không bằng vốn đầu tư công, nguồn tài chính công đoàn được áp dụng theo phương pháp xác định giá thuê nhà ở xã hội bằng vốn đầu tư công quy định tại khoản 1 Điều 31 của Nghị định này".
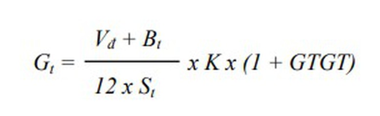
Tại điểm b khoản 1 Điều 31 quy định:
"Phương pháp xác định giá thuê nhà ở xã hội được xác định theo công thức sau:

Trong đó:
Gt: là giá thuê 01 m2 sử dụng nhà ở trong 01 tháng (đồng/m2/tháng).
Vđ: là tổng chi phí đầu tư xây dựng không bao gồm thuế giá trị gia tăng để thực hiện dự án đầu tư xây dựng nhà ở xã hội (bao gồm cả các chi phí được phân bổ cho công trình nhà ở xã hội) theo quy định của pháp luật về quản lý đầu tư xây dựng công trình, được phân bổ hằng năm cho diện tích sử dụng nhà ở cho thuê theo nguyên tắc bảo toàn vốn.

Tđ (đồng): là tổng chi phí đầu tư xây dựng phần diện tích nhà ở xã hội theo quy định tại khoản 2 Điều 22 của Nghị định này, được căn cứ theo giá trị quyết toán vốn đầu tư được cơ quan nhà nước có thẩm quyền phê duyệt; trường hợp chưa phê duyệt quyết toán thì xác định căn cứ theo chi phí đầu tư xây dựng công trình được cơ quan nhà nước có thẩm quyền phê duyệt hoặc chi phí đầu tư xây dựng theo kết quả đấu thầu thực tế (nếu có)...".
Theo quy định tại khoản 3 Điều 87 Luật Nhà ở năm 2023 thì giá thuê nhà ở xã hội được đầu tư xây dựng không bằng vốn đầu tư công, nguồn tài chính công đoàn do chủ đầu tư dự án đầu tư xây dựng nhà ở xã hội thỏa thuận với bên thuê theo khung giá do UBND cấp tỉnh quy định.
Do đó, quy định về phương pháp xác định giá thuê nhà ở xã hội quy định tại Điều 34 Nghị định số 100/2024/NĐ-CP là để tính toán giá cho thuê nhà ở xã hội của dự án làm cơ sở thỏa thuận của chủ đầu tư với bên thuê nhà.
Tuy nhiên, việc quy định phương pháp xác định giá cho thuê nhà ở xã hội tại Điều 34 Nghị định số 100/2024/NĐ-CP được dẫn chiếu theo quy định tại khoản 1 Điều 31 Nghị định số 100/2024/NĐ-CP là quy định phương pháp xác định giá cho thuê nhà ở xã hội do Nhà nước đầu tư xây dựng bằng vốn đầu tư công, nguồn tài chính công đoàn.
Trong đó, tổng chi phí đầu tư xây dựng để tính giá cho thuê nhà ở xã hội không bao gồm thuế VAT. Như vậy, quy định về phương pháp xác định giá cho thuê nhà ở xã hội được đầu tư xây dựng không bằng vốn đầu tư công, nguồn tài chính công đoàn là chưa thống nhất với quy định về việc xác định giá bán nhà ở xã hội được đầu tư với cùng nguồn vốn.
Bộ Xây dựng ghi nhận ý kiến nêu trên của ông và sẽ nghiên cứu, tiếp thu trong quá trình sửa đổi Nghị định số 100/2024/NĐ-CP, bảo đảm sự thống nhất với pháp luật về quản lý chi phí đầu tư xây dựng hiện hành.
Chinhphu.vn